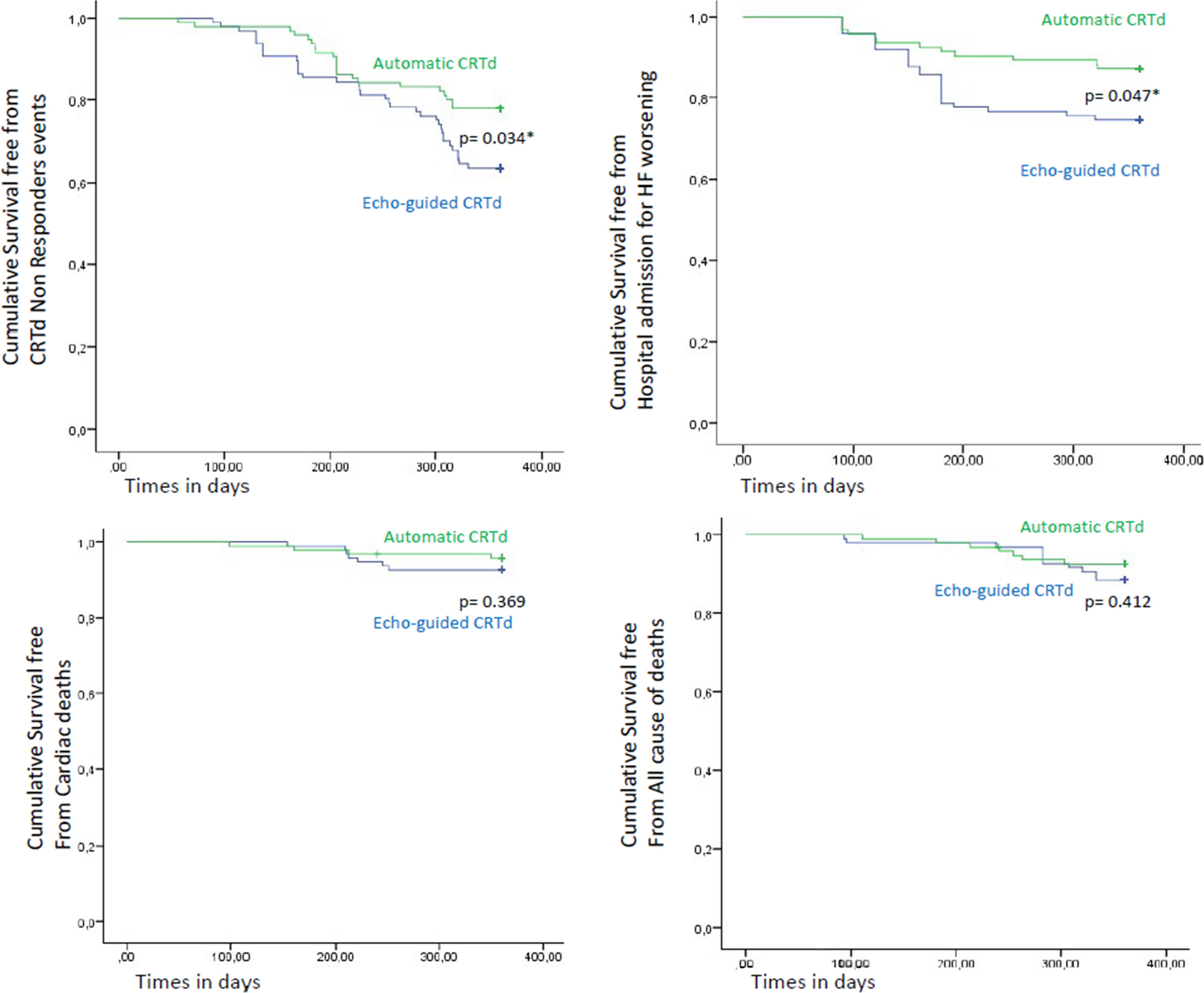
Fig. 3

Kaplan curves for “cumulative survival free” at 360 days of follow-up from Cardiac Resynchronization therapy with a defibrillator (CRTd) response (upper left, p < 0.05), hospital admission for heart failure (HF) worsening (upper right, p < 0.05), cardiac deaths (lower left, p > 0.05) and all cause of deaths (lower right, p > 0.05) comparing patients in Automatic CRTd group (green color) vs. Echo CRTd group (blue color). * is for statistical significant (p < 0.05)