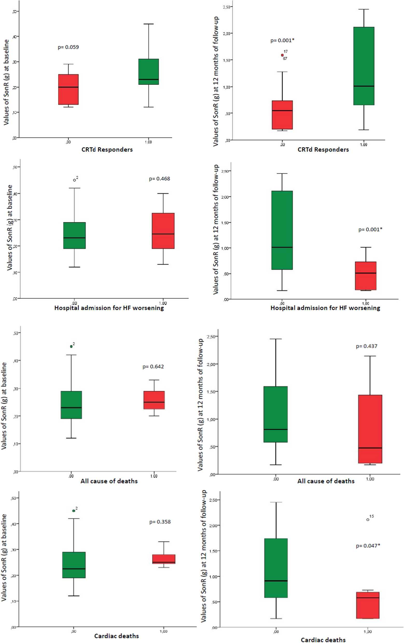
Fig. 2

a In upper part the SonR values (g) at baseline (left part) and at follow-up end in CRTd responders (green color) vs. CRTd non responders (red color) with the corresponding p value. In lower part the SonR values in g at baseline (left part) and at follow-up end in patients with hospital admission for heart failure (HF) worsening (red color) vs. patients without hospital admission for heart failure (HF) worsening (green color) with the corresponding p value. * is for statistical significant (p < 0.05). b In upper part the SonR values in g at baseline (left part) and at follow-up end for patients with all cause of deaths (red color) vs. survived patients (green color) with the corresponding p value. In lower part the SonR values in g at baseline (left part) and at follow-up end in patients with cardiac deaths (red color) vs. survived patients (green color) with the corresponding p value. * is for statistical significant (p < 0.05)