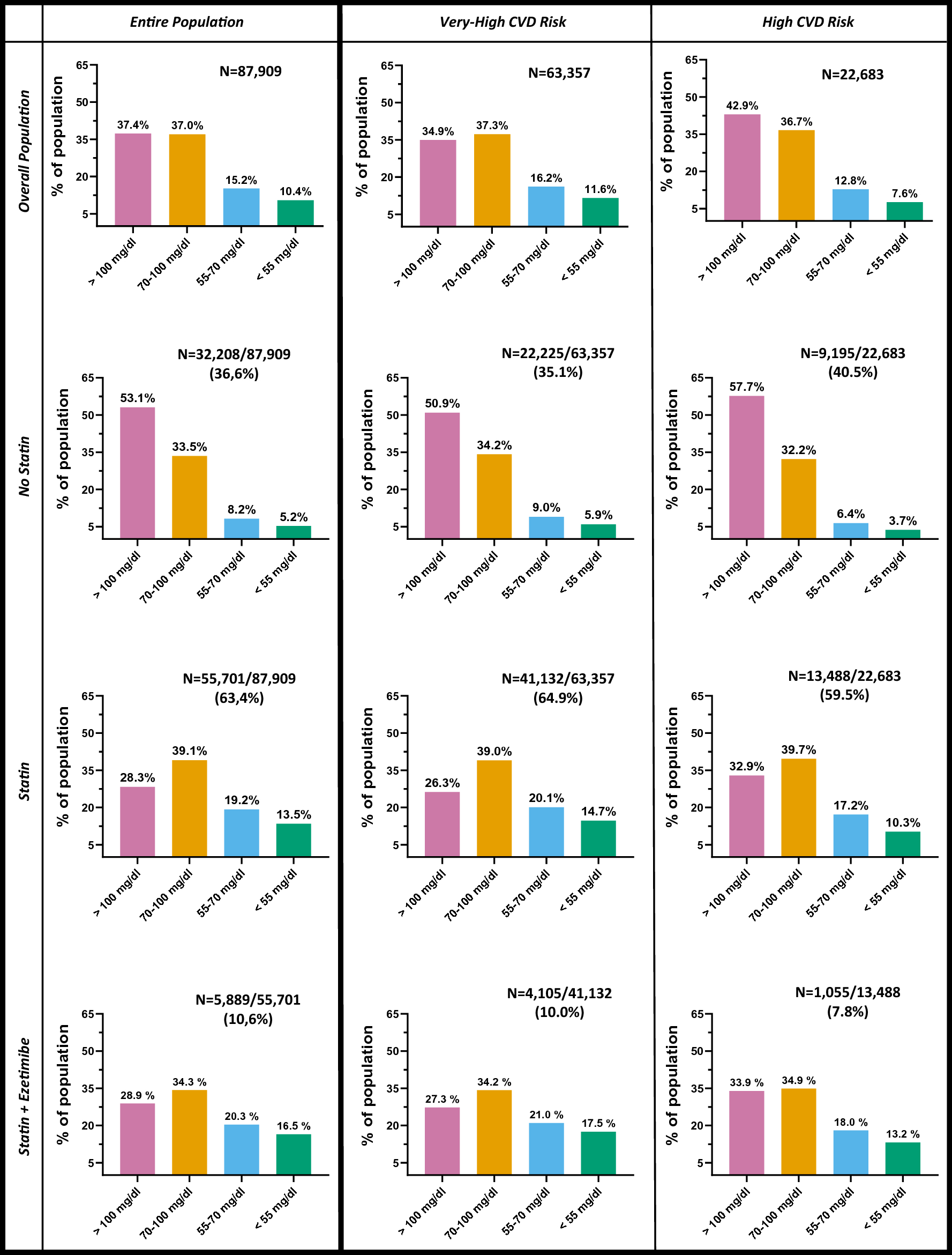
Fig. 2From: Cholesterol lowering therapies and achievement of targets for primary and secondary cardiovascular prevention in type 2 diabetes: unmet needs in a large population of outpatients at specialist clinicsLDL-c levels in the overall population stratified by cholesterol lowering therapy and by ESC/EAS risk categories. For each subgroup of patients, we show numbers and percentages in the various LDL-c target rangeBack to article page